置顶河北公务员考试成绩查询官网_河北公务员考试专题网
2022河北公务员考试成绩预计今日发布火币网官网,河北华图教育老师特意为考生准备了2022河北成绩查询入口网址,考生可动手收藏一下,等到成绩发布后,可立刻查成绩...
2022河北公务员考试成绩预计今日发布火币网官网,河北华图教育老师特意为考生准备了2022河北成绩查询入口网址,考生可动手收藏一下,等到成绩发布后,可立刻查成绩...
来源:证券时报 比特币等虚拟货币市场剧烈震荡,虚拟货币交易平台似乎也开始发生变化火币中国。 据海外媒体报道, 火币集团创始人李林正在与一群投资者谈判,以高达30...
格隆汇7月7日丨火币科技(01611.HK)公布,公司董事会注意到,公司股份的价格及成交量于2022年7月7日出现不寻常波动火币中国。 单日涨超85%,每股收报...
“比特币的本质决定了,自0.1版本发行以后,其核心设计便已固定,永远不会被改变全球比特币行情。”——中本聪,2010年6月17日 如果将比特币比作一家央行,它将...
关键要点 自 7 月 12 日以来,比特币已飙升超过 26%全球比特币价格。 链上数据显示,过度杠杆化的交易者数量激增,同时抛售压力激增全球比特币价格。...
分析比特币期货的未平仓合约 比特币未平仓合约提供了对流入和流出比特币衍生品市场的资金量的洞察全球比特币价格。交易者使用比特币期货和永久掉期等衍生品来推测比特币的...
“人在币圈混,三天饿九顿”本是调侃之言,如今却是币圈的真实写照全球比特币价格。 近日,比特币出现“自由落体式”下跌,连续10多天走低,一度跌破2万美元,距历史高...
˂img src="http://gdjcjj.com/zb_users/upload/2022-08-30/630db1286643c.jpg" alt="以...
“太贵了”是很多刚接触区块链不久的新人对比特币的第一个印象莱特币。然而,很多人不知道的是,一个比特币还可以拆分成一亿份。其实,不仅仅是比特币,很多加密货币都可以...
目前,全球利率持续维持震荡,市场求利若渴,对于能够无时差交易全球外,指数、股票、原油、贵金属、加密货币等差价合约及买卖的热衷程度也是与日俱增,而能够提供便利安全...
智通财经APP获悉,PayPal(PYPL.US) 6月7日表示,在该公司向加密货币开放其平台近2年后,现在推出一项新功能,允许用户在PayPal生态系统内外转...
比特币正在进行熊市中的反弹,在7月份上涨了20%,但价格走势仍然让人感到十分困惑莱特币。随着8月份开启,Puell Multiple指标已经离开底部区域。从历史...
˂img src="http://gdjcjj.com/zb_users/upload/2022-08-30/630db39145e67.jpg" alt="比...
数字人民币产业联盟成立数字货币数据挖掘! 消息面上,由新大陆、华为共同发起倡议的“数字人民币产业联盟”成立,并选举新大...
今日资讯内容 1.栗木镇:“关爱明天 普法先行”青少年法治宣传活动进乡村 2.恭城法院开展“少年儿童心向党 用心用情伴成长”暑期儿童关爱服务活动 3.恭城公...
要闻 中共中央总书记、国家主席、中央军委主席习近平近日在辽宁考察时强调,在新时代东北振兴上展现更大担当和作为,奋力开创辽宁振兴发展新局面,以实际行动迎接党的二十...
国内新闻 ?交通部:加快推进公路沿线充电基础设施建设 8月16日,中国政府网刊发了《交通运输部答网民关于“建议加强高速服务区的新能源充电桩建设”的留言》数字货币...
大家早上好啊数字货币新闻资讯! 欢迎阅读新闻早资讯~ 天气提示 明天白天:广元、巴中、达州、南充、广安5市阴天有中到大雨, 部分地方有暴雨,盆地其余地方阴天间多...
大家早上好啊数字货币新闻资讯! 欢迎阅读新闻早资讯~ 天气提示 今天白天:我省大部晴间多云,其中盆地西部北部沿山和攀西地区多云有分散阵雨或雷雨数字货币新闻资讯。...
大家早上好啊数字货币新闻资讯! 欢迎阅读新闻早资讯~ 天气提示 今天白天:广元、雅安2市和绵阳、德阳、成都、眉山、乐山5市西部以及巴中北部多云间阴有阵雨或雷雨,...
在即将到来的欧冠1/8决赛首回合中,利物浦将客场挑战加拉塔萨雷,埃及球星穆罕默德·萨拉赫正处于创造历史的边缘理财好不好。根据利物浦官方的数据,萨拉赫目前在欧冠赛...
在最近的一次会议上,利物浦的前锋穆罕默德·萨拉赫与球队高层,包括理查德·休斯和爱德华兹,进行了深入的讨论网贷理财。这次会面不仅关系到萨拉赫个人的职业生涯,更是涉...
近日,自称是球员刘议阳的女友在社交媒体上指控其多项不当行为:出轨,辱骂教练,传播他人私密照,经常夜不归宿等,引发关注银行定期理财。 昨天(11月27日),长春亚...
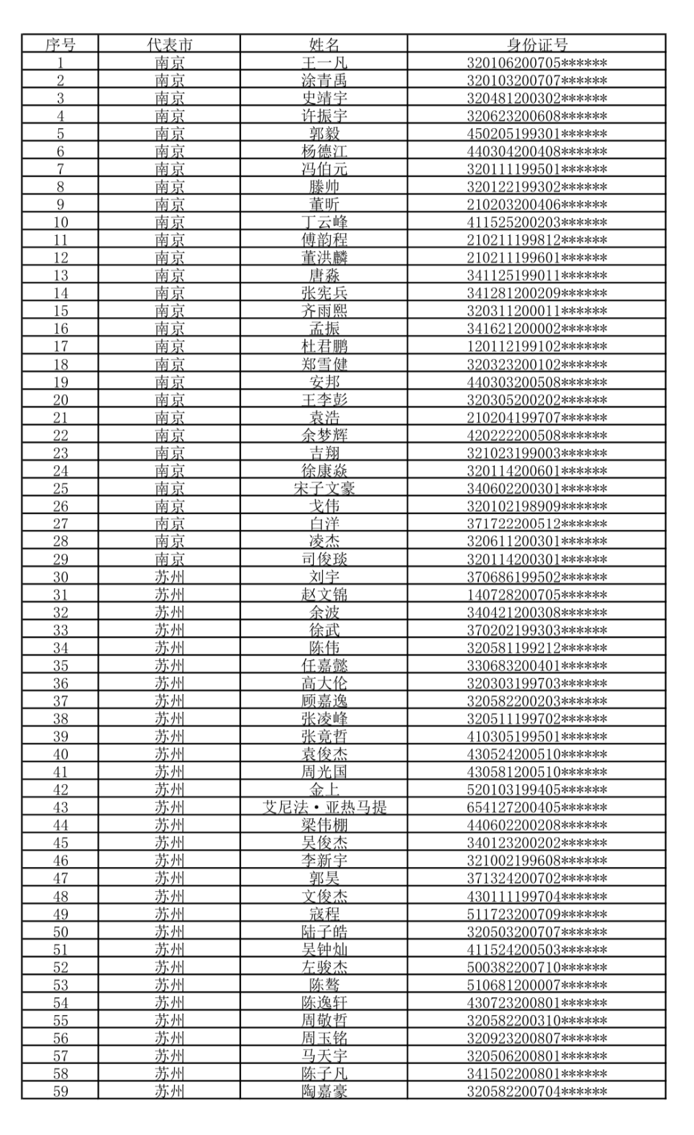
公示 按照《第二届江苏省足球发展重点城市对抗赛竞赛规程》对球员参赛资格审查的相关要求,现将球员报名名单进行公示个人银行理财。 一、公示时间为2025年11月7日...
北京时间10月27日消息商业银行理财,据媒体人“我爱女篮”透露,WCBA的工资帽已经确定,将会在近期对外公布,俱乐部国内球员总薪水不能超过1080万! 此次改革...
北京时间10月10日,NBA季前赛,广州龙狮95-142大比分不敌洛杉矶快船,遭遇NBA季前赛的两连败(此前负于马刺)基础理财。 广州龙狮队前锋陈国豪本场出战1...
前新疆外援哈雷尔曾在赛季期间违规 北京时间9月30日消息,媒体人付政浩发文表示中国篮协加大了对兴奋剂的处罚力度,若一名球员两次阳性则终身禁赛,俱乐部三年内有三名...
北京时间9月29日消息,亚冠联赛第二轮东亚区的比赛将于明天拉开战幕日,成都蓉城将在凤凰山体育中心迎战韩国江原FC队净值理财产品。 这将是成都蓉城在亚冠联赛历史上...
北京时间2025年9月23日,薪资专家鲍比-马克斯分析了火箭目前的薪资状况大额理财。 早些时候,范弗利特遭遇了前交叉韧带撕裂,预计将缺席整个赛季,这也打乱了火箭...
北京时间9月3日消息,德国媒体披露了有关滕哈格下课的内幕,表示滕哈格屡次向勒沃库森高层推荐自己经纪公司的球员,这让俱乐部感到不满20万理财。值得一提的是,在执教...